摘要
在天然產物中,有 >7% 的化合物具有雙邊對稱性,其中 17% 在生源合成路徑中涉及對稱性的二聚化過程,從而表現出某種形式的對稱性。該種雙邊對稱的結構特點引起了全合成化學家的廣泛關注,相繼開發出了?4 種經典的合成方法以高效解決單體到二聚體的雙邊對稱性合成的難題。4 種經典合成方法包含:大環環化、C-C 鍵偶聯、環加成反應和共軛加成反應。本文將著重介紹代表性雙邊對稱的天然產物的全合成途徑,剖析引入雙邊對稱性的方法。

大環環化
在眾多具有大環結構特征的雙邊對稱性的天然產物中,如何高效合成大環結構從而實現天然產物對稱性的二聚化過程成為有機合成化學家們關注的焦點。該策略主要包含:內酯化,烯烴復分解和金屬參與的偶聯反應。
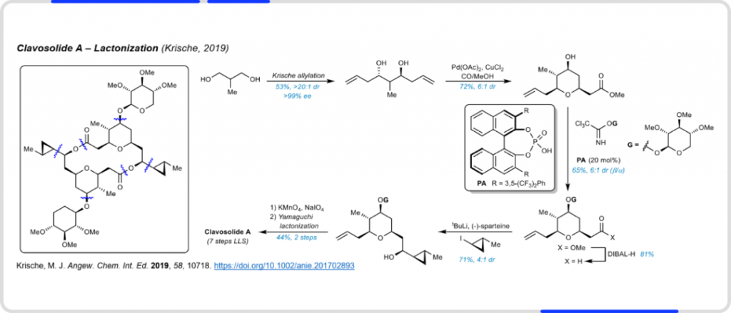
2019 年,Michael J. Krische 教授團隊利用 Yamaguchi 內酯化反應成功實現了單體二聚化過程,以 7 步反應高效合成了天然產物 Clavosolide A(圖1)。

2016 年,Michael J. Krische 教授團隊設計利用烯烴復分解反應實現雙邊對稱的天然產物 Swinholide A 中 40 元環的構建。其烯烴復分解所需要的單體化合物可以通過化合物 A 和 B 快速構建,而化合物 A 和 B 可以通過簡單的化學原料合成得到(圖2)。

在具體的合成路線中,作者分別合成化合物 A 和 B,通過分子間的 Aldol 反應形成二聚前體,最后通過分子間的烯烴復分解反應構建了 Swinholide A 中的 40 元環(圖3)。

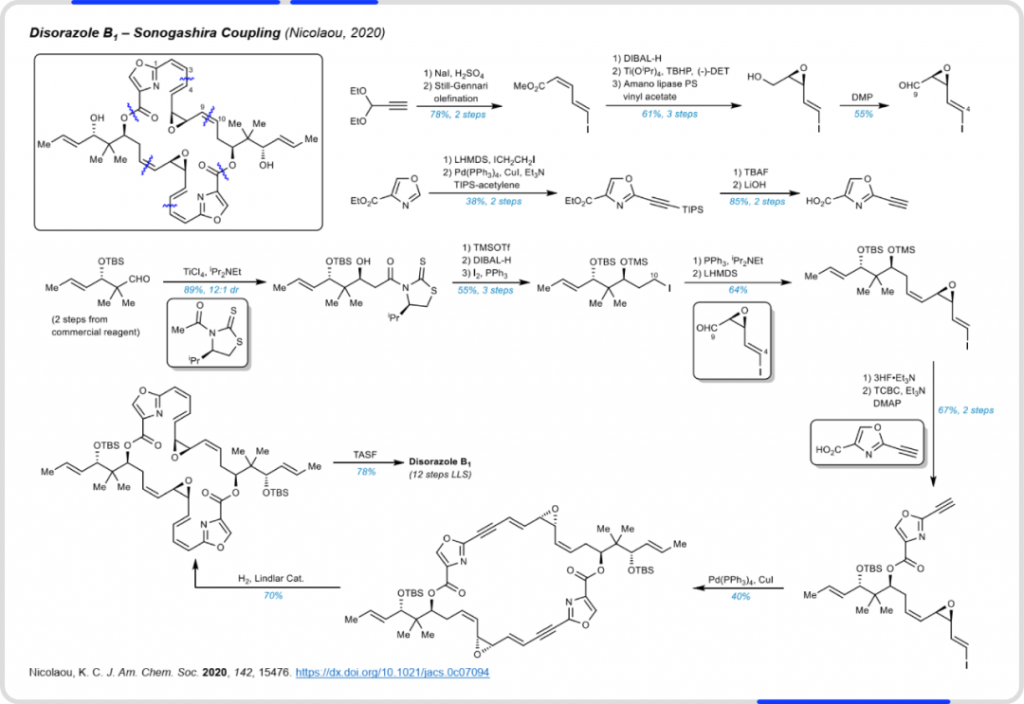
2020 年,K. C. Nicolaou 教授團隊利用 Sonogashira 偶聯反應成功構建了雙邊對稱的天然產物 Disorazole B1 中的 30 元環。在具體的合成路線中,兩個單體中的炔烴和烯基碘代物首尾相連,以 40% 的收率獲得目標大環產物(圖4)。

C-C鍵偶聯
利用 C-C 鍵偶聯策略實現單體的二聚以及多聚的策略實現天然產物的高效構建主要包含:還原偶聯,氧化偶聯和金屬催化的偶聯反應。
在合成雙邊二聚天然產物 Chaetocin A 及其類似物 11,11’-dideoxyverticillin A 時,M. Movassaghi 小組和 M.Yoshida 小組都采用了烷基溴代物還原條件下形成碳自由基,隨后兩單體自由基偶聯的方式實現二聚化(圖5)。

及11,11’-dideoxyverticillin A的全合成
2011 年,S. B. Herzon 教授課題組利用偶氮化合物與金屬形成卡賓中間體,兩單體之間通過氧化偶聯的方式實現二聚化過程,從而實現天然產物 Lomaiviticin aglycon 的全合成(圖6)。

J. A. Porco 教授課題組在 2015 年先后利用銅催化的 Stille 偶聯和鈀催化的 Suzuki-Miyaura 偶聯實現了二聚體天然產物 Rugulotrosin A 和 Penicillixanthone A 的全合成(圖7)。

和Penicillixanthone A的全合成
環加成反應
趙剛教授課題組與彭小水研究團隊先后利用環加成反應策略合成了烏藥烷型倍半萜化合物。趙剛課題組利用光催化下單體 Chloranthalactone A 的 [2+2] 環加成反應快速構建了雙邊對稱天然產物 Chloranthalactone A(圖8)。在形式上對稱的二聚體天然產物 Shizukaol A和Shizukaol E 通過兩個相似的單體通過加熱條件下的 [4+2] 環加成反應實現(圖9)。


共軛加成反應
在天然產物全合成中,共軛加成反應是構建復雜結構的良好選擇。同時,在實現單體化合物向二聚以及多聚反應時,共軛加成反應也是常用的方法之一。
2013 年,R. A. Shenvi 課題組利用共軛加成的策略,以 8 步反應高效地實現了天然產物 Neothiobinupharidine 的全合成。作者利用 Polonovski 反應使得兩分子的氮氧化物單體聚合,從而高效實現了天然產物的全合成(圖10)。Polonovski 反應下,兩分子氮氧化物單體聚合的機理見圖11。


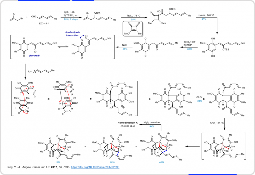
2017 年,唐葉峰教授團隊利用共軛加成的策略以 9 步反應成功實現了雙邊對稱二聚體天然產物 Homodimericin A 的全合成(圖12)。

結束語
以上4種方法共同實現了雙邊對稱天然產物的快速構建。除了在合成上的巨大突破,該領域還存在更多的機會等待開發。首先,需要開發更先進的分離純化和鑒定天然產物結構的方法與技術,以便人類能夠掌握更多具有生物活性的分子數據庫。其次,需要開發更簡潔、高效的合成方法,并將這些方案應用于雙邊對稱藥物的合成。最后,期待有機合成化學家、生物學家和藥物化學家更加緊密地協作,揭示雙邊對稱天然產物的生理藥理學活性,為創新藥物的開發提供全新的思路。
作者介紹:
張健,東京工業大學理學院化學系在讀理學博士,獲日本政府獎學金,從事新方法學新策略的開發和天然產物全合成研究工作。